|
In Sequences - General Information, we saw a form of sequences called "recursive" form.
It is easy to recognize a "recursive" formula
because it will always contain at least two parts.
 |
A recursive sequence is a sequence in which each term is defined based upon the previous term(s), requiring an initial (seed) value to begin.
|
In terms of a "formula", the format resembles the following:
a1 = 10 followed by an = an - 1 + 6. |
|
A recursive formula always has (at least) two parts:
1. the starting value for a1
2. the recursion equation for a function of an-1 (the term before it). |
A recursive formula is defined as a function of its preceding term(s).
[Each term is found by doing something to the term(s) immediately in front of that term.]
| Not all sequences can be defined (expressed) as a "recursive" formula. |
The process of recursion can be thought of as climbing a ladder.
To get to the third rung, you must step on the second rung. Each rung on the ladder depends upon stepping on the rung below it.
You start on the first rung of the ladder. a1
From the first rung, you move to the second rung. a2
a2 = a1 + "step up"
From the second rung, you move to the third rung. a3
a3 = a2 + "step up"
|
 |
When on the nth rung, you must have stepped on the (n - 1)st rung. an = an - 1 + "step up"
A recursive formula requires that you know the value of the term immediately before the term you ae trying to fine. You will NOT be able to "jump ahead" to find the value of a term.
You must work your way up the "ladder".

|
Notation: Recursive forms work with the term(s) immediately in front of the term being examined. The table at the right shows that there are many options as to how this relationship may be expressed in notations.
A recursive formula is written with two parts: a statement of the first term along with a statement of the formula relating successive terms.
The statements below are all naming the same sequence:
|
Given Term |
Term in front
of Given Term |
a4 |
a3 |
an |
an-1 |
an+1 |
an |
an+4 |
an+3 |
f (6) |
f (5) |
f (n) |
f (n-1) |
f (n+1) |
f (n) |
|
Recursive Formula:
 |
Same recursive formula:
 |
|
Be sure you understand that the two formulas shown above
say
the same thing. Different textbooks write recursive
formulas
in different ways.
|
|
Two parts.
|

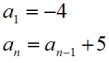
Let's take a look at some sequences that are recursive sequences,

Write the first four terms of the sequence:

|
In recursive formulas, each term is used to produce the next term.
Follow the movement of the terms through the set up at the left.
Answer: -4, 1, 6, 11
` |

Consider the sequence: 2, 4, 6, 8, 10, ...
 |
Notice the pattern in this sequence.
Two is being added to each term,
Certain sequences, such as this arithmetic sequence, can be represented in more than one manner. This sequence can be represented as either an explicit (general) formula or a recursive formula.
|

Consider the sequence: 3, 9, 27, 81, ...
 |
Notice the pattern in this sequence.
The terms are powers of three.
Or each term is three times the previous term.
This geometric sequence can be represented as either an explicit formula or a recursive formula. |

Consider the sequence: 2, 5, 26, 677, ...

|
This sequence is neither arithmetic nor geometric. It does, however, have a pattern of development based upon each previous term.
The pattern is one more than the square of the preceeding term.
|

Write the first 5 terms of the squence:

|
Notice how the value of n is used as the exponent for the value (-1). We saw this use of (-1) in explicit formulas.
Also, remember that in recursive formulas, each term is used to produce the next term. Follow the movement of the terms through the set up at the left.
Notice how the value of n is used as the exponent for the value (-1). Also, remember that in recursive formulas, each term is used to produce the next term. Follow the movement of the terms through the set up at the left.
Answer:
3, 15, -75, -375, 1875
|

|
As we discovered with explicit formulas, it is easy to work with sequences if you are given the formulas.
While the same is true for recursive formulas, it is occassionally the case that finding a recursive formula may be easier to find once you see the pattern in the list of terms. |

|
How to use your graphing calculator for working
with
sequences
Click here. |
|
|
|
How to use
your graphing calculator for
working
with
sequences
Click here. |
|
|

NOTE: The re-posting of materials (in part or whole) from this site to the Internet
is copyright violation
and is not considered "fair use" for educators. Please read the "Terms of Use". |
|
|