|
In addition to investigating explicit forms,
Algebra 2 also examines Arithmetic Sequences in recursive forms.
 |
An arithmetic sequence is a sequence of numbers where the difference between consecutive terms is constant, called the common difference (d).
Pattern: a, (a + d), (a + 2d), (a + 3d), ... where a is the first term. |
|
Arithmetic Recursive Formula:
(Linear Function) |

Add |
|
In a recursive formula, each term is defined as a function of its preceding term(s).
[Each term is found by doing something to the term(s) immediately in front of that term.]
It is easy to recognize a "recursive formula" because it will always contain at least two parts.
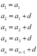
The recursive formula for an arithmetic sequence defines each term based upon the preceding term by adding a constant common difference, d. It primarily requires two components: the first term, a1, and the formula for the next term, an, based upon the previous term, an - 1.
|
FORMULA: a1= starting value, an = an - 1 + d
a1= first term, d = common difference, n = term number
It may be written in either subscript notation an, or in functional notation, f (n). |
common difference |
|
We are going to take another look at the examples we saw under "explicit" form
to see the differences, and similarities, when the "recursive" form is used.
Sequence:
{10, 15, 20, 25, 30, 35, ...}. Find a recursive formula.
We saw how "explicit" arithmetic sequences are discrete linear functions. Since we are discussing the same sequences again, the "recursive" forms will also be discrete linear functions.
|
Term Number |
Term |
Subscript Notation |
Function Notation |
1 |
10
|
a1 |
f (1) |
2 |
15
|
a2 |
f (2) |
3 |
20
|
a3 |
f (3) |
4 |
25
|
a4 |
f (4) |
5 |
30
|
a5 |
f (5) |
6 |
35
|
a6 |
f (6) |
n |
|
an |
f (n) |
Recursive Formula for this example:
in subscript notation: a1 = 10; an = an - 1+ 5
in function notation: f (1) = 10; f (n)= f (n - 1)+ 5 |
|
The graph, and the list of terms, can each verify that terms are increasing by a value of 5. The sequence starts at 10. This pattern of repetitive addition, allows calculation of terms based on preceding values. As a formula, we can easily state the first term to be 10, and then add 5 to each previous term.
|
|

|
In most arithmetic sequences, however, a recursive formula is easier to create than an explicit formula. The common difference is usually easily seen, which is then used to quickly create the recursive formula.
  |
Remember that recursive formulas, unlike explicit formulas, will only let you find a term
in a sequence
if you already know the term directly before the term you seek.

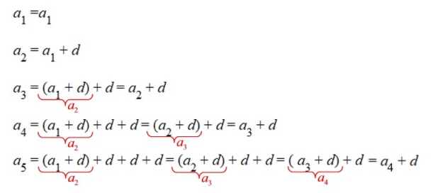
Origins of the Arithmetic Recursive Formula
The origin of the explicit formula for an arithmetic sequence was based upon the sequence pattern listed in the definition of an arithmetic sequence. The origin of the recursive formula for an arithmetic sequence is based upon another way of "grouping" that pattern.
(explicit)
(recursive)
If you start with the explicit pattern from the definition of an arithmetic sequence, and list out all of the "d"s in each term, you can see how the recursive formula was developed by grouping within the pattern.
 |
The recursive formula shows that given a1,
each term can be expressed
as the preceding term plus "d ". |
|
|
Recursive Formula
of an arithmetic sequence:
Given a1 and an= an - 1 + d
where a1 is the first term of the sequence,
d is the common difference,
n is the number of the term to find. |

There are numerous ways to work with arithmetic sequences and recursive formulas. Let's take a look at some of the situations.
| Question |
Answer |
1. Find the first 5 terms of this recursive arithmetic sequence:
a1 = 15
an = an - 1 + 3 |
1. The formula shows that each term is three more than the term in front of it. This one is easy to see.
15, 18, 21, 24, 27, ... |
2. Find the first 5 terms of this recursive arithmetic sequence.
a1 = 20
an = an - 1 - 12 |
2. The formula indicates that each term is 12 less than the term in front of it.
Another easy one.
20. 8, -4, -16, -28, ...
|
3. Write a recursive formula for this arithmetic sequence.
-3, 17, 37, 57, ...
|
3.The first term is -3.
The additional terms are 20 more than the previous term.
a1 = -3
an = an - 1 + 20
The formula is easy if you can quickly see the pattern in the sequence. |
4. For the arithmetic sequence:
1, ½, 0, -½, ...
a) Find the next three terms.
b) Write a recursive formula for this sequence. |
4. a) 1, ½, 0, -½, -1, -1½, -2
b) a1 = 1
an = an - 1 - ½
|
5. Find the first four terms of the arithmetic sequence
a1 = 10
an = an - 1 + 1.5 |
5. The first four terms: 10, 11.5, 13, 14.5
 |
| 6. The first term of an arithmetic sequence is -4 and the third term is 36. Write a recursive formula to express this sequence.
|
6. Get a visual of the situation: -4, ___, 36
In this arithmetic sequence the middle term (the second term) will be half way between the surrounding two terms.
-4 + 36 = 32
½ of 32 = 16
The missing term is 16, making the common difference to be 20.
a1 = -4
an = an - 1 + 20 |
| 7. a) Write a recursive formula for the sequence:
{18, 21, 24, 27, ...}.
b) Using the formula from part a, find the 100th term of this sequence.
|
a) We know a1= 18 and d = 4.
a1 = 18 and an = an - 1 + 4
b) WHOA!! Not doing this one!!
To find this answer using a recursive formula,
would require finding ALL of the terms prior to the 100th term.
We are going to "cheat" on this one.
The explicit formula page told us that the answer was 414. |

To summarize the process of writing a recursive formula for an arithmetic sequence:
1. Determine if the sequence is arithmetic
(Do you add, or subtract, the same amount from one term to the next?)
2. Find the common difference. (The number you add or subtract.)
3. Create a recursive formula by stating the first term, and then stating the formula to be the previous term plus the common difference.
a1 = first term;
an= an - 1 + d |
a1 = the first term in the sequence
an = the nth term in the sequence
an - 1 = the term before the nth term
n = the term number
d = the common difference. |
|
{10, 15, 20, 25, 30, 35, ...} |
first term = 10, common difference = 5
recursive formula: a1= 10; an= an - 1 + 5 |
|

|
How to use your graphing calculator for Sequences
and
Series
Click here. |
|
|
|
How to use
your graphing calculator for
working
with
sequences
Click here. |
|
|

NOTE: The re-posting of materials (in part or whole) from this site to the Internet
is copyright violation
and is not considered "fair use" for educators. Please read the "Terms of Use". |
|
|