|
An exponential expression is one which contains an exponent.
It is a mathematical way to show repeated multiplication, in a short form (i.e., 23).
The form is a base number (or variable) raised to a value called the exponent.
We will be focusing on exponential expressions of the form bx,
where the base is a constant and the exponent is a variable.
In relation to "functions", there is a difference in "naming" 2x and x2.
f (x) = 2x is an exponential function, while f (x) = x2 is a power function.
|

When working with exponential expressions, you will need to remember the rules that pertain to dealing with exponents. Algebra 2 will expect you to use these rules (forward and backward) in a variety of situations. Primarily, you will need to remember the following rules:
Product Rule:
 |
Quotient Rule:
 |
Power to Power Rule:
 |
Product to Power Rule:
 |
| Simplifying Exponential Expressions: |
|
|
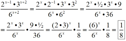
Simplify the following expressions into the form a•bx.
| Re-writing Exponential Expressions and Equations: |
|
|
You may be asked to re-write an exponential expression in a simpler form, as seen above, to make it more easily readable. Or you may be asked to re-write the expression into a more obscure form to reveal pertinent information about a concept or about the expression itself.

Manipulating Exponential Expressions to find "b" |
In Algebra 2, our focus is on exponential functions of the form f (x) = abx.
The form, f (x) = abx , utilizes bx where the value of b gives important information about the function and its graph. In certain situations, we may need to rewrite an exponential expression such that the only exponent is x, allowing us to "see" the base value as b.
Using the "Power to a Power" property of exponents, (xm)n = xmn , in reverse, re-write the following expressions into a form bx,
maintaining only "x" as the exponent, with a real number value for b.
Example 1:

If f (x)= 52x, we now know that the value
of b is 25.
|
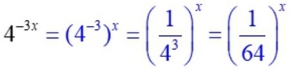
Example 2:
If g(x)= 4-3x, we know that the value
of b is 1/64. |
Using the "Product Rule" property of exponents, xm• xn = x m+n, in reverse, re-write the following expression. Consider: 2x - 1 = 2x • 2-1
Example 3:
Simplify: 
|
 |

NOTE: The re-posting of materials (in part or whole) from this site to the Internet
is copyright violation
and is not considered "fair use" for educators. Please read the "Terms of Use". |
|
|