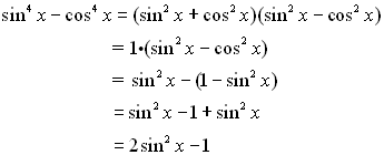
Answer to Question 5

Factor and substitute:
a17

All Rights Reserved - Copyright MathBitsNotebook.com