Formulas for Geometric Sequences and Series
geoformula1small and   geoformula2small

The origin of the formula to find a specific term of a geometric sequence where the common ratio of successive terms is r can be seen by examining the sequence pattern.

arwhy1
geopattern2

Notice that the exponent of r is one less than the location of the term.
Thus we have
geo1small

___________________________________________________________________________

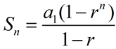
If we carry this idea further, we can find the formula for partial sums of a geometric sequence.
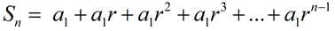
First express the series in a manner similar to what was done with the "Pattern" above:
geosum1

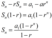
Now, multiply both sides by the common ration r:
geosum2

Now, subtract these two equations and notice values that disappear.


We will end up with:

geosum3

All Rights Reserved - Copyright MathBitsNotebook.com