Formulas for Arithmetic Sequences and Series
arformulasmall  and  arformula2small

The origin of the formula to find a specific term of an arithmetic sequence where the common difference between terms is d can be seen by examining the sequence pattern.

arwhy1
arwhy2

Notice that the coefficient of d is one less than the location of the term.
Thus we have
arwhy3

___________________________________________________________________________

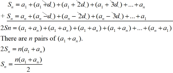
If we carry this idea further, we can find the formula for
partial sums of an arithmetic sequence (for the first n terns).

First examine the terms, as we did above, starting with the first term.

Remember:: a1 + (n - 1) d = an

Now, try the same approach starting with the last term, and working backward.

This process of comparing a sequence forward and backward is credited to Carl Gauss.
Read about his story.

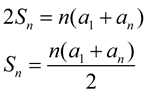
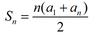
Now, add these two equations together and notice values that disappear.



All Rights Reserved - Copyright MathBitsNotebook.com