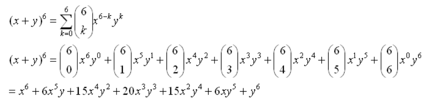
Answer to Question 1

b1answer

All Rights Reserved - Copyright MathBitsNotebook.com