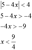
Answer to Question 4

| 5 - 4x | + 2 < 6

Case 1:
AI4casea

Case 2:
AI4caseb

ANSWER: AI4ans

All Rights Reserved - Copyright MathBitsNotebook.com