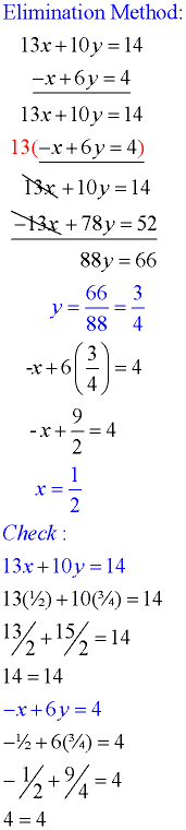
Answer to Question 4

ANSWER: (1/2,3/4)

checkelim4 checksub4

All Rights Reserved - Copyright MathBitsNotebook.com