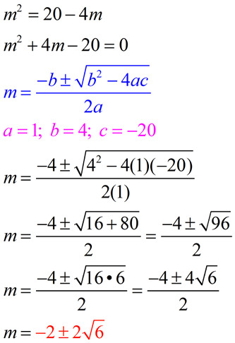
Answer to Question 2

Qform2NN

All Rights Reserved - Copyright MathBitsNotebook.com