Answer to Question 6

footballgraph

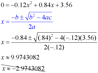
Ricky's best throw is the horizontal distance traveled by the football until it touches the ground. We are looking for the x-intercept. To find the x-intercept, set y = 0.

footballmath
Reject the negative answer, as distance is a positive concept. Best throw is 9.97 feet.

 

All Rights Reserved - Copyright MathBitsNotebook.com